Resumo
• O governo Bolsonaro terminará com forte desempenho fiscal.
• O novo governo Lula vazou várias declarações-teste sobre questões fiscais para testar a opinião pública, incluindo a suspensão de privatizações, mudança de regras fiscais e expansão
gastando imediatamente.
• Remover ou desfigurar o teto de gastos ou criar uma meta de dívida líquida-PIB pode acabar no mesmo desastroso equívoco praticado entre 2008 e 2016.
• O abuso da medida da dívida líquida foi um dos motivos pelos quais a presidente Dilma Rousseff foi cassada em 2016 por violar a Lei de Responsabilidade Fiscal.
Implicações de mercado
• Se o novo governo seguir na linha do que declarado, a inflação vai parar de cair, a taxa de juros vai aumentar, o crescimento tropeçará, os mercados de ações terão baixo desempenho e os ativos de renda fixa terão um alto retorno real.
Uma Nova Administração
O governo de Bolsonaro implementou uma forte recuperação fiscal, apesar da pandemia. As promessas do novo governo Lula, no entanto, não são promissoras, e o mercado (finalmente) as reconheceu. O novo governo eleito prometeu acabar com as privatizações, eliminar o teto de gastos, aumentar o número de ministérios para 32 e aumentar o tamanho do setor público em geral.
Investidores e analistas financeiros descartaram as promessas como retórica para satisfazer a base petista. No entanto, essa complacência se mostrou ingênua quando o presidente eleito Lula e membros de sua equipe de transição papaguearam esses objetivos políticos ou renunciaram, por exemplo, o ex-ministro da Fazenda Henrique Meirelles.
As negociações e reuniões com o setor privado continuam enquanto o novo governo tenta encontrar um nome para o Ministério da Economia. Mas quase um mês após o segundo turno das eleições, ainda não há um único candidato para o cargo, e muitos dos nomes são fracos. Antes de discutir o que considero ser o principal risco fiscal, consideremos a solvência.
Teoria da Solvência Fiscal Estrita Simples
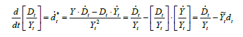
Em termos muito gerais, a maneira mais fácil de testar a solvência estrita é verificar se as condições são tais que a relação dívida-PIB está estável ou em declínio. Então, tomando a derivada do tempo da relação dívida-PIB, obtém-se:
onde tD é a dívida líquida do governo no tempo t, Yt é o PIB nominal, 𝑌 ̃ 𝑡 é a taxa de crescimento do PIB nominal e dt é a dívida pública líquida em relação ao PIB. Para que a relação dívida/PIB d diminua:
O Gráfico 1 compara os dois lados dessa condição, plotando cada um separadamente. Durante a maior parte de 1999-2013, o Brasil foi estritamente solvente, com a linha preta acima da linha vermelha. A situação começou a se deteriorar em 2010 após uma recuperação da crise financeira de 2008, até passar para a região de insolvência estrita em 2016, onde o setor público permaneceu até agosto de 2021 (10 anos). Desde então, o governo manteve e procurou manter seu bom desempenho. A previsão da foto era minha pré-eleitoral, e com certeza irei modificá-la.
O Gráfico 2 mostra como o setor público brasileiro alcançou essa posição. O saldo primário recuperou o superávit em 2021 no acumulado de 12 meses, apesar da pandemia, e permaneceu em torno de 2% do PIB mesmo em ano eleitoral. Esta é uma conquista notável.
As intenções do novo governo
Como mencionado, a nova administração prometeu muitas coisas, o que implica elevado aumento nos gastos. No entanto, trataremos apenas de uma das propostas – a eliminação do teto de gastos – e de uma versão das propostas que circulam atualmente em Brasília.
Descrito em artigo publicado por economistas do Tesouro, a proposta é criar uma regra fiscal em que o governo ajuste as despesas e receitas primárias com base em uma meta dívida líquida do setor público/PIB.1 Haveria um ajuste se a dívida líquida ultrapassasse a meta e espaço para expansão fiscal, caso ela seja insuficiente. Para agentes honestos, a regra é boa, mas para ministros mais cínicos, isso prepararia o terreno para uma repetição do passado problemático.
Uma viagem pela estrada da memória: Contabilidade criativa, ou seja, 'Pedaladas'
O Brasil já experimentou os efeitos dilatórios de abusar do conceito de dívida líquida. O uso de uma medida de dívida líquida causará imediatamente problemas de credibilidade, já que a medida foi recentemente abusada para esconder despesas primárias.
A partir do final de 2009, apesar de uma clara recuperação econômica, o Ministério da Fazenda fez com que os bancos federais – Banco do Brasil, BNDES e Caixa Econômica Federal – emitissem grandes quantidades de crédito a taxas subsidiadas para financiar o que muitos consideram gastos fiscais. Quando o capital dos bancos estatais caísse abaixo do mínimo estabelecido pelo Comitê Monetário Nacional, o governo simplesmente emitiria mais dívida para recapitalizar os bancos. Isso não afetaria a dívida líquida, pois o governo receberia um IOU dos bancos em troca do capital, eliminando os efeitos da emissão de dívida na medida da dívida líquida do governo.
Essa política também eliminou as despesas da caderneta de despesas primárias, pois o Banco Central do Brasil (BCB) calculou déficits começando abaixo da linha. Se a contabilidade for feita corretamente, o déficit nominal do setor público é igual ao aumento da dívida líquida do setor público. Em seguida, subtrairia os pagamentos de juros desse valor para calcular o saldo primário do setor público. Se as trocas de ativos e passivos não aparecessem na dívida líquida do setor público, também não apareceriam no saldo primário. Além desses truques contábeis, o governo considerou o IPO da Petrobras (2010) como receita primária e pressionou os bancos estaduais a declarar dividendos em excesso e depois recapitalizá-los com títulos do governo.
Juntamente com o esquema Ponzi descrito acima, o governo continuou a suprimir as tarifas de eletricidade bem abaixo de onde os distribuidores poderiam empatar e muito menos ganhar dinheiro. O governo iria cobrir as perdas, mas mantê-las fora da demonstração de resultados e providenciou para que os bancos emprestassem pela diferença. Previsivelmente, Angola, Cuba, Nicarágua e Venezuela não pagaram os empréstimos concedidos pelos bancos estatais brasileiros.
Por representar financiamento do déficit, violou tecnicamente a Lei de Responsabilidade Fiscal. Além disso, o Tesouro atrasou os repasses à Caixa Econômica Federal para a previdência e outros programas sociais. A Caixa pagava as transferências sem receber o dinheiro e permitia ao Tesouro um cheque especial bem excessivo devido ao fluxo normal da conta, novamente violando a Lei de Responsabilidade Fiscal.
Isso tudo veio à tona em 2015-16. Contribuiu fortemente para o impeachment da presidente Dilma Rousseff, para as condenações de vários ministros que realizaram essa contabilidade criativa e para as restrições a futuros cargos de servidores públicos no governo. Durante as investigações, o Tribunal de Contas da União exigiu que o BCB prestasse contas das despesas primárias ocultas e ajustasse as contas públicas por essas transgressões. Os totais aparecem no Gráfico 3 e são usados em todos os gráficos sobre postura fiscal.
O Brasil já experimentou os efeitos dilatórios do abuso do conceito de dívida líquida. A subnotificação das despesas primárias chegou a quase R$ 60 bilhões, cerca de 1% do PIB. O uso de uma medida de dívida líquida causará (e causou) imediatamente (d) problemas de credibilidade, já que a medida foi abusada para ocultar as despesas primárias no passado recente.
Implicações de mercado
Infelizmente, o mercado espera que o presidente eleito Lula aja rapidamente para manter a prudência fiscal e monetária do atual governo. No entanto, o presidente eleito e muitos na equipe de transição repetindo as promessas de campanha heterodoxas e expansionistas colocaram em dúvida essa posição ingênua.
Como argumentei antes no Macro Hive, a política monetária bem-sucedida do BC para combater a inflação e melhorar a credibilidade é fundamentada na credibilidade fiscal, como as três regras fiscais mostraram. Sem uma boa política e principalmente credibilidade, a inflação parará de cair, as taxas de juros subirão, o crescimento estagnará, o mercado de ações apresentará baixo desempenho e os ativos de renda fixa comandarão um alto retorno real.
